Solving Proportion Equations Worksheets
About These 15 Worksheets
Proportion equations are one of those math topics that sneak into so many areas of life-whether you’re doubling a cookie recipe, converting a map scale, or figuring out the “two-for-one” price at the store. These worksheets break down the mystery by giving students clear practice in solving for unknowns, step by step. Each set uses a different twist-fractions, decimals, puzzles, or variables-so kids stay engaged while building confidence. It’s math practice, but it feels more like solving little riddles and challenges along the way.
The collection is designed to meet learners where they are and gradually turn up the challenge dial. Starting with simple cross-multiplication problems, students work their way through more complex scenarios like fractional ratios and variable-based equations. This progression makes sure the basics are secure while still stretching problem-solving muscles. The playful titles and puzzle-like activities keep motivation high, especially when math can sometimes feel like a grind.
Beyond just number-crunching, these worksheets help kids see how proportions connect to the bigger world. Recipes, sports stats, maps, and shopping discounts all come down to proportional thinking. By practicing here, students aren’t just prepping for a test-they’re picking up tools they’ll use long after school. Think of these pages as a friendly workout for both algebra skills and everyday reasoning.
Have a Look Inside Each Worksheet
Ratio Riddles
Students crack short, puzzle-style prompts where solving a proportion reveals each answer. They’ll practice cross-multiplication, equivalent ratios, and checking reasonableness. The riddle format keeps attention high while nudging kids to show each step clearly. It’s a playful way to reinforce how two equal ratios make an equation you can solve with confidence.
Ratio Solver
This sheet focuses on straightforward a/b = c/d setups so learners can isolate the unknown quickly. Expect lots of cross-multiplying, simplifying, and verifying solutions. Problems ramp up gently so students build speed and accuracy without getting overwhelmed. It’s perfect for locking in the fundamental moves behind solving proportion equations.
Equation Match
Learners match each proportion to its solution or an equivalent form. This strengthens recognition of equivalent ratios and deepens number sense. The matching format adds a low-pressure, game-like feel that still requires precise thinking. It shows how many different-looking equations can represent the same proportional relationship.
Ratio Resolver
Students tackle mixed problems that blend unit-rate thinking with classic proportion solving. They’ll convert between forms, simplify ratios, and justify steps. Variety keeps practice fresh while cementing the “means and extremes” idea. It’s great for moving from procedural comfort to flexible understanding.
Fraction Finder
Here the proportions feature fractional values, so students must be careful with simplifying and multiplying across. They’ll practice reducing fractions, handling complex numerators/denominators, and checking for extraneous results. This tightens algebraic fluency and precision with rational numbers. It directly supports success when proportion equations include fractions on one or both sides.
Proportion Puzzle
Each item feels like a mini-brain teaser where a hidden value unlocks the rest. Students set up and solve equations of equal ratios, often needing to interpret brief scenarios. The puzzle vibe keeps perseverance high even when arithmetic gets crunchy. It’s a gentle push toward strategic problem-solving in proportions.
Fraction Quest
Learners go on a “quest” through proportions that weave in fraction operations and simplification. They’ll compare, scale, and solve for unknowns while keeping track of common denominators. The themed progression adds momentum and a sense of accomplishment. It’s ideal for mastering proportion equations in fraction-heavy contexts.
Ratio Challenges
This worksheet collects trickier items that require multi-step reasoning. Students might simplify first, then solve, and finally verify by substitution. The problems reward clean organization and error-checking. It helps bridge from basic proportions to more demanding algebraic thinking.
Decimal Discoveries
Students practice solving proportions that include decimals, encouraging careful place-value work. They’ll convert, align decimals, and cross-multiply accurately. The set builds comfort moving between fractions and decimals in proportional contexts. It ensures kids don’t lose proportional reasoning when numbers aren’t “nice.”
Decimal Dynamics
This is a slightly faster-paced follow-up with more decimal-based proportions. Learners tighten computation habits and speed while maintaining clear steps. Expect a mix of tidy and messy decimals to keep attention sharp. It’s excellent for strengthening real-world readiness where decimals show up everywhere.
Ratio Riddles
A second set of riddle-style proportion problems keeps the engagement going. Students apply the same cross-product logic but with fresh twists and numbers. The repeat format supports spaced practice and deeper retention. It helps learners prove their proportional skills across different puzzle frames. 15 Worksheets.com
Variable Voyage
Here, variables appear inside the ratios, so students must combine algebra skills with proportion solving. They’ll distribute, combine like terms, and isolate the variable after cross-multiplying. Careful equation management is the name of the game. It’s a key step toward handling proportion equations in full algebra courses.
Algebraic Balance
Problems feel like balancing scales-whatever you do to one side must keep the equality of ratios intact. Students show each operation cleanly and check solutions by substitution. The set emphasizes structure and reasoning over guesswork. It cements why proportional equations behave like any other equations-just with ratios built in.
Proportional Path
Learners follow a guided “path” from simple proportions to ones with fractions, decimals, or variables. Each stop along the way adds a small new wrinkle. This gradual build supports all learners, including those who need a confidence boost. It ties the pieces together into one big picture of proportional reasoning.
Proportion Puzzles
Students finish with a mixed-bag challenge where they must choose the best strategy for each item. They’ll interpret, set up, and solve, then justify their results. These puzzles reward flexible thinking and careful checking. It’s a capstone-style practice sheet that shows true mastery of solving proportion equations.
Understanding Proportion Equations
Math often deals with comparing quantities, and one of the most powerful tools for this is the proportion equation. Proportions appear everywhere in real life-when scaling recipes, reading maps, adjusting photos, or calculating discounts. At its core, a proportion equation shows that two ratios are equal, giving us a way to solve for missing values and understand relationships between numbers. Mastering proportions is a key step in building strong algebra and problem-solving skills.
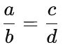
What Is a Proportion Equation?
A proportion equation is written as:

This means the ratio of a to b is the same as the ratio of c to d.
To solve, we typically use cross multiplication:
a × d = b × c
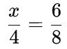
Example 1 – Fixing a Recipe (While Solving for the Numerator)
Imagine you’re doubling a cookie recipe: if 4 cups of flour go with 6 cups of sugar, how many cups of flour are needed to keep the same balance?

Step 1 (Cross Multiply)
x x 8 = 4 x 6
8x = 24
Step 2 (Solve for x)
x = 24/8 = 3 (cups of flour)
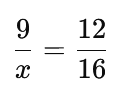
Example 2 – Fixing an NFL Roster (While Solving for the Denominator)
The Dallas Cowboys have 12 starters out of 16 players in a practice rotation. The Green Bay Packers want to keep the same ratio of starters to total players. If the Packers have 9 starters, how many players are in their rotation?

Step 1 (Cross Multiply)
9 x 16 = 12 x x
114 = 12x
Step 2 (Solve for x)
x = 144/12 = 12 (players)